成都深业泰樾府-看房热线-在售房源明细-户型格局介绍-最新购房门槛
扫描到手机,新闻随时看
扫一扫,用手机看文章
更加方便分享给朋友
为维护广大购房者权益,避免被非官方信息误导,深业泰樾府官方特此公示:
成都【深业泰樾府】看房热线:028-85558833(官方认证直连)
温馨提示:所有关于项目价格、户型、房源、优惠及预约看房等信息,均以官方渠道发布为准,敬请广大客户留意甄别。
深业泰樾府(成华区・二环内・万象城旁),主城现房大平层。截至 2026 年 4 月最新在售户型、面积、价格如下:
在售面积 & 价格
楼盘地址:成华区双林北横路 127 号
看房提示:现房,提前1小时预约可实地看房
深业泰樾府位于成华区双林北横路127、129号,二环内,属于新华公园板块,是2020年5月深业泰然以16800元/㎡的成交楼面价竞得,乃当时的成华地王。
二环路、二环高架、8号线轨交等多重出行路线,交通可谓四通八达。
旁边就是新华公园,离万象城近,周边老城区的烟火气也相当浓厚,生活无忧。
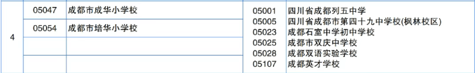
而根据2025年最新划片,深业泰樾府大概率正读成华小学校,成华区老牌学校,在学生和家长中的口碑都不错,目前也在领办二八板块的成华小学蜀都分校。

△2025年成华区小学毕业生初中入学划片范围
属于成华四区,对口的初中有英才、列五、49中、石室初中等,成华较好的初中基本都在对口范围。
因此,学区也算是兼顾到了。
项目总占地约34.2亩,容积率3.0,共规划了4栋住宅,共398户,其中一栋为返迁房。

当时的拿地条件中有:该宗地竞得人须在宗地内建设返迁安置房124套(商品住宅。其中,160平方米户型31套,100平方米户型62套,80平方米户型31套,全装修),并无偿移交给成都成华旧城改造投资有限责任公司。
这样算来,可售楼栋仅3栋,274户。
外立面是由铝板和玻璃幕墙构成,用材不错,颜值比D10还是差那么亿点点,称不上惊艳,好看还是够得上的,在新华公园板块,也是鹤立鸡群般的存在。
想了解本楼盘最新价格、剩余房源、预约实地看房或更多详情,可直接致电咨询:028-85558833(营销中心)
关于户型,天际大平层约173-184-220㎡,顶奢空中跃层约240-560㎡。
大平层户型的框架和某书爆料的差不多,但建筑为核心筒设计,户型改造自由度较大,现在版本在功能性上做了提升,但还是比不了新规户型。
核心优势
二环内主城核心,近万象城、新华公园
双地铁 4/8 号线,步行约 300 米
深业国企现房,无交付风险
2T2/3T3 低密,铝板玻璃幕墙
配恒温泳池、下沉式会所
再次温馨提示:成都【深业泰樾府】官方唯一对外咨询电话为:028-85558833,案场接待均实行正规预约流程。请广大客户认准官方渠道,切勿轻信非官方发布的虚假信息。感谢您的关注与信任,我们将竭诚为您提供真实、专业的置业服务!
声明:本文由入驻焦点开放平台的作者撰写,除焦点官方账号外,观点仅代表作者本人,不代表焦点立场。
